Austindo?s Cibaliung gold project bankable feasibility study (Update)
Monday, December 15 2003 - 01:30 AM WIB

The project has resources of 1.8 million tons at 9.6 g/t Au and 80 g/t Ag within two epithermal high grade gold-silver shoots containing 554,500 oz gold and 4.62 million oz silver (previously reported 28 April 2003).
The project is a joint venture (Austindo 77%) with International Antam Resources Limited, a majority owned subsidiary of PT Aneka Tambang.
Highlights
- All key consultants for the BFS appointed.
- Resources infill drilling nearing completion.
- Drilling results for the high grade shoots in line with expectations.
- Project financing progressing.
- Exploration continuing.
The key consultants have been appointed to the project and include: AMC Consultants for resources estimation; BFP Consultants for geotechnical; URS Asia/URS Australia for environmental, water management & tailing; AMMTEC for metallurgical testwork; and GRD Minproc for process engineering.
Resources Drilling
A program of delineation drilling in the resources at the Cikoneng and Cibitung shoots commenced in late August and will be completed in December 2003. A total of 2,413 m of drilling in 13 holes had been completed up to the end of November. This total comprises 968 m of RC percussion pre-collars and 1,445 m of HQ diamond drilling.
The delineation drilling program was designed specifically to improve confidence in continuity, width and grade of the resource by closing-up drill-spacing to a pattern of approximately 20x20m in the central and peripheral segments of the two shoots.
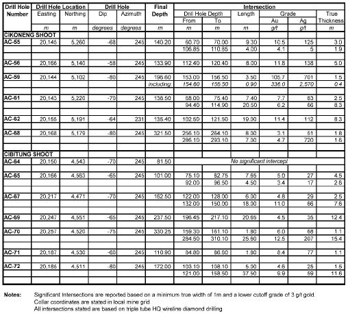
Significant drill assay results received to date shown below. The results confirm previous drill results in the areas tested and improve structural definition of the shoots.

Project Funding
Previous studies indicate likely capital expenditure of approximately US$31 million. The Company is examining a range of options for project funding and interest has been expressed by five banking groups to provide debt funding. Representatives of all those banks have made initial visits to the project site in November/December and discussions are continuing with a view to providing a mandate.
Exploration
Extensive exploration within the immediate project area has continued during the BFS period with the objective of identifying targets for follow up drilling to test for new shoots. It is expected that the first new drill target will be tested early in 2004. (*)
Source: Austindo Resources Corporation N.L.
